Digitoxin
Click to View Image
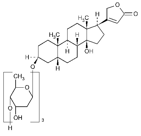
C41H64O13 764.94

Card-20(22)-enolide,3-[(O-2,6-dideoxy-b-D-ribo-hexopyranosyl-(1®4)-O-2,6-dideoxy-b-D-ribo-hexopyranosyl-(1®4)-2,6-dideoxy-b-D-ribo-hexopyranosyl)oxy]-14-hydroxy,(3b,5b)-.
Digitoxin [71-63-6].
»Digitoxin is a cardiotonic glycoside obtained from Digitalis purpureaLinné,Digitalis lanataEhrhart (Fam.Scrophulariaceae),and other suitable species of Digitalis.Digitoxin contains not less than 92.0percent and not more than 103.0percent of C41H64O13,calculated on the dried basis.
[Caution—Handle Digitoxin with exceptional care since it is highly potent. ]
Packaging and storage— Preserve in tight containers.
Identification—
A: Infrared Absorption á197Kñ.
B: Prepare a test solution in methanol containing 1mg per mL.Apply 1µLof the test solution and 1µLof a Standard solution of USP Digitoxin RSin methanol containing 1mg per mLto a suitable thin-layer chromatographic plate (see Chromatography á621ñ)coated with a 0.25-mm layer of chromatographic silica gel mixture.Allow the applications to dry,and develop the chromatogram in a solvent system consisting of a mixture of methylene chloride and methanol (93:7)until the solvent front has moved about three-fourths of the length of the plate.Remove the plate from the developing chamber,mark the solvent front,and dry the plate at 100to remove the solvent.Spray the plate with a 6in 10solution of sulfuric acid in methanol,heat at 105for 10minutes,and examine the chromatogram under long-wavelength UVlight:the RFvalue of the principal spot obtained from the test solution corresponds to that obtained from the Standard solution.
C: The retention time of the major peak in the chromatogram of the Assay preparationcorresponds to that of the major peak in the chromatogram of the Standard preparation,as obtained in the Assay.
Loss on drying á731ñ Dry it in vacuum at 105for 1hour:it loses not more than 1.5%of its weight.
Residue on ignition á281ñ: negligible,from 100mg.
Assay—
Mobile phase— Prepare a filtered and degassed mixture of water and acetonitrile (55:45).Make adjustments if necessary (see System Suitabilityunder Chromatography á621ñ).
Standard preparation— Dissolve an accurately weighed quantity of USP Digitoxin RSin Mobile phase,and dilute quantitatively,and stepwise if necessary,with Mobile phaseto obtain a solution having a known concentration of about 40µg per mL.
Assay preparation— Transfer about 50mg of Digitoxin,accurately weighed,to a 200-mLvolumetric flask.Dissolve in and dilute with Mobile phaseto volume,and mix.Pipet 4mLof this solution into a 25-mLvolumetric flask,dilute with Mobile phaseto volume,and mix.
System suitability preparation— Prepare a solution in Mobile phasecontaining about 40µg each of digitoxin and digoxin per mL.
Chromatographic system (see Chromatography á621ñ)—The liquid chromatograph is equipped with a 218-nm detector and a 3.9-mm ×30-cm column that contains packing L1.The flow rate is about 1mLper minute.Chromatograph the Standard preparationand the System suitability preparation,and record the peak responses as directed for Procedure:the relative retention times are about 0.35for digoxin and 1.0for digitoxin;the resolution,R,between the digoxin and digitoxin peaks is not less than 2.0;the tailing factor for the analyte peak is not more than 2.0;and the relative standard deviation for replicate injections of the Standard preparationis not more than 2.0%.
Procedure— Separately inject equal volumes (about 50µL)of the Standard preparationand the Assay preparationinto the chromatograph,record the chromatograms,and measure the responses for the major peaks.Calculate the quantity,in mg,of C41H64O13in the portion of Digitoxin taken by the formula:
1.25C(rU/rS),
in which Cis the concentration,in µg per mL,of USP Digitoxin RSin the Standard preparation,and rUand rSare the peak responses obtained from the Assay preparationand the Standard preparation,respectively.
Auxiliary Information— Staff Liaison:Gabriel I.Giancaspro,Ph.D.,Senior Scientist and Latin American Specialist
Expert Committee:(DSB)Dietary Supplements:Botanicals
USP28–NF23Page 642
Phone Number:1-301-816-8343